American Mathematical Monthly Problems

The American Mathematical Monthly is an expository journal intended for a wide audience of mathematicians, from undergraduate students to research professionals. Each issue has a Problems and Solutions section where new problems are proposed.
Below there is a list of the recent problems I liked the most.


Problem 12565 - F. Stanescu (Romania).

Problem 12563 - Tran Quang Hung (Vietnam).

Problem 12561 - D. E. Knuth (USA).

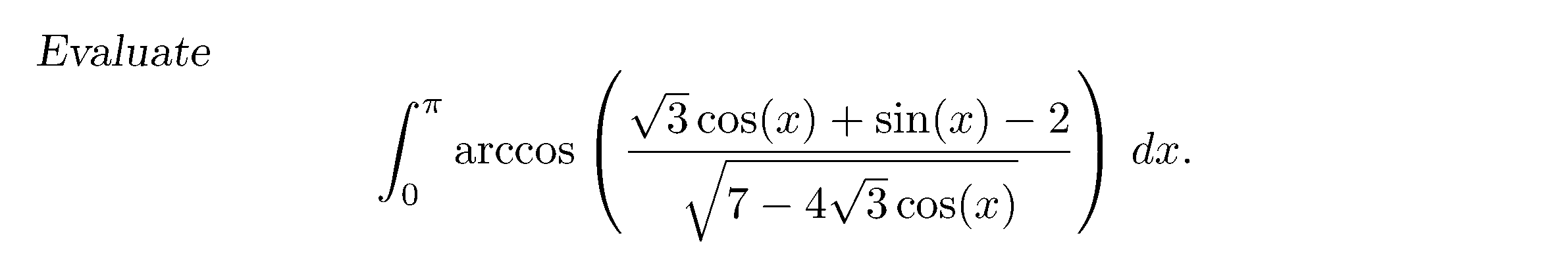
Problem 12559 - H. Ohtsuka (Japan) and R. Tauraso (Italy).

Problem 12558 - J. C. Lagarias (USA) and S. Reterink (Netherlands).

Problem 12557 - M. Bataille (France).

Problem 12556 - D. Neziri (Kosovo).

Problem 12555 - H. Chen (China).

Problem 12552 - Tuan Anh Nguyen (Vietnam).

Problem 12551 - A. Inan (Turkey).

Problem 12550 - O. Furdui and A. Sintamarian (Romania).

Problem 12548 - A. Desai (India).

Problem 12544 - M. A. Alekseyev (USA).

Problem 12543 - H. Ohtsuka (Japan).

Problem 12542 - L. Dong (Vietnam).

Problem 12540 - R. Dragomirescu (USA) and C. Lupu (China).

Problem 12539 - R. Tauraso (Italy).

Problem 12537 - J. Yan (China).

Problem 12535 - N. Batir (Turkey).

Problem 12534 - M. Stofka (Slovakia).

Problem 12533 - T. Hakobyan (Armenia).

Problem 12531 - B. Elsner (France) and E. F. Muller (Germany).

Problem 12527 - S. Attaoui (Algeria).

Problem 12525 - M. Ghelichkhani (Iran).

Problem 12524 - W. Yangjit (USA).

Problem 12523 - A. Stenger (USA).

Problem 12521 - M. Stofka (Slovakia).

Problem 12518 - P. Perfetti (Italy).

Problem 12513 - R. P. Stanley (USA).

Problem 12510 - H. Ohtsuka (Japan).

Problem 12505 - D. Marghidanu (Romania).